Facts Won’t Save Us: Why Political Beliefs Are So Hard to Change

Malgorzata Kossowska & Anna Knorr, Jagiellonian University. March 1, 2026.

In today’s polarized world, it often feels as if no one ever truly changes their mind. Scroll through an online debate about climate change, immigration, or gender identity, and you will often see people digging in rather than opening up. What makes it so difficult to revise our beliefs, even when counterarguments are clear, well supported, and logically sound?

As it turns out, the answer is more complicated, and more hopeful, than we might expect.

Beyond the Left vs. Right Stereotype

For decades, many researchers argued that political conservatives are especially rigid in their thinking (e.g., Adorno et al., 1950; Jost et al., 2003; Tetlock, 1983; Wilson, 1973). On this view, conservatives are more sensitive to threat and more strongly oriented toward stability and tradition, which makes them less open to new or conflicting ideas. Liberals, by contrast, were often portrayed as more open-minded and cognitively flexible. This "rigidity of the right" account was intuitive, widely cited, and supported by substantial empirical evidence. More recent research, however, suggests a more nuanced picture, one that has less to do with left versus right and more to do with ideological extremes versus moderates (e.g., Costello et al., 2021; Ditto et al., 2019; Zmigrod et al., 2020). These findings align well with the results of our studies.

Figure 1. Effects of political ideology on belief change across control and belief-challenge conditions (Kossowska et al., 2025, Experiment 2). In the belief-challenge condition, belief updating followed an inverted U-shaped pattern across the ideological self-placement scale: participants near the ideological midpoint showed the greatest belief change, whereas those toward either end of the left–right continuum updated their beliefs less. The pattern was more pronounced for political beliefs than nonpolitical beliefs. In the control condition, belief change was negligible.

In a series of experiments in Poland, we examined how people respond when their beliefs are directly challenged. One set of studies focused on individuals with strong right-wing and left-wing views (Kossowska et al., 2023b); another included participants across the full ideological spectrum (Kossowska et al., 2025). The procedure was the same in both cases. Participants randomly assigned to a belief-challenge condition read strong arguments that contradicted their positions on politically charged topics such as abortion, immigration, and LGBTQ+ rights, as well as on more neutral, nonpolitical issues. They then rated how strongly they still endorsed their earlier stated beliefs. In a control condition, participants completed a time-matched filler task before rating their beliefs, allowing us to capture baseline belief change in the absence of counter-attitudinal information. This study design allowed us to ask a simple but central question: when people encounter well-supported disagreement, who is more willing to reconsider their views—people at the ideological extremes or those nearer the political center? The “rigidity of the right” account would predict that conservatives are uniquely resistant to change. Instead, our results told a different story.

 

Ideology Matters, But Not How We Thought

Across the full ideological spectrum, greater extremity – whether on the right or the left – was linked to stronger resistance to belief change compared with more moderate positions (see Figure 1; Kossowska et al., 2025). What predicted belief change was not whether someone identified as liberal or conservative, but how extreme their views were to begin with. In other words, people at both ends of the spectrum were similarly resistant when confronted with counterevidence. This pattern fits what we might call a “rigidity-of-the-extreme” view: what predicts inflexibility is not whether a belief leans left or right, but how extreme it is. Put simply, the more entrenched a position becomes, the harder it is to loosen, regardless of where it falls on the political spectrum.

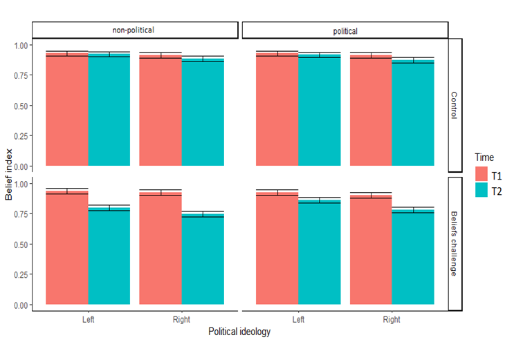
Figure 2. Individuals at both ideological extremes – left and right – did not differ in how much they revised their prior beliefs when confronted with counterevidence. Across the sample, belief updating was greater for nonpolitical issues than for political ones (Kossowska et al., 2023b).  Note: T1 = measure of prior beliefs; T2 = measure of posterior beliefs.

Another pattern also emerged. Regardless of political orientation, participants were more willing to update their beliefs on nonpolitical than political ones (see Figure 2, Kossowska et al., 2023b). The reason is that political beliefs are rarely just intellectual positions. They function as identity markers, closely tied to our sense of self, the groups we belong to, and the values we treat as nonnegotiable. When such beliefs are challenged, the experience is not only cognitively uncomfortable; it can feel like an existential threat – a disturbance to the epistemic structures that give life coherence and purpose. From this perspective, it becomes easier to understand why those at the ideological extremes are especially resistant. When a belief is tightly fused with identity, revising it can feel like pulling at the threads that hold the self together. But is this just a metaphor, or does the brain actually treat political disagreement as something self-relevant?

 

The Left Isn’t Immune: When Political Beliefs Reach the Brain

To explore this question, we turned to neuroimaging. In a recent neuroimaging study (Kossowska et al., 2026), we recorded brain activity using fMRI while individuals with strong left-wing views read arguments challenging both their political beliefs and their more neutral, nonpolitical beliefs. As in our earlier studies, participants were more resistant to revising political beliefs than nonpolitical ones. The more revealing story, however, lay in what was happening in the brain. When political views were challenged, participants showed heightened activity in brain regions linked to self-reflection and identity, particularly within the Default Mode Network (DMN; see Figure 3B).

Figure 3. Experimental Design and Neural Responses to Belief Challenges (Kossowska et al., 2026). (A) Schematic of the fMRI procedure.  Participants first read a belief statement they had previously endorsed, then viewed a series of counterarguments challenging that belief. After five counterarguments, the original statement reappeared and participants rated their level of agreement. Trials included both political and nonpolitical beliefs. (B) Brain regions showing differential activation while participants processed challenges to each belief type. Red/yellow regions were more active during challenges to political beliefs, whereas blue/green regions were more active during challenges to nonpolitical beliefs, indicating distinct neural responses as a function of belief content.

Most notably, those who were most resistant to change showed stronger activation in the dorsomedial prefrontal cortex (dmPFC), a region closely involved in representing and maintaining the self. The more the dmPFC engaged, the less likely participants were to revise their political beliefs. Crucially, dmPFC engagement was markedly weaker when counterarguments targeted nonpolitical beliefs, indicating that political attitudes receive special protection from self-relevant psychological processes. At the same time, greater resistance to belief change was accompanied by reduced activation in the orbitofrontal cortex (OFC), a region implicated in reward learning, belief updating and cognitive flexibility.

Together, these neural patterns suggest that when political beliefs are challenged, the brain may shift away from flexible updating and toward protecting the self. They are also consistent with the idea that having one’s beliefs affirmed can be inherently rewarding, reinforcing existing convictions rather than loosening them. Revising political beliefs, then, is rarely just about evidence. It can feel self-relevant and emotionally charged, more like a threat to identity than a neutral exchange of arguments. And if resistance is rooted in perceived threat, it should vary depending on how secure those beliefs feel in a given political context.

A Closer Look: The Polish Case Study

In one set of studies (Kossowska et al., 2025), right-wing participants were slightly more likely to revise their views than their left-wing counterparts (see Figure 1). That finding runs counter to the traditional “rigidity of the right” account, which would predict greater resistance among conservatives. Yet this does not mean one side is inherently more flexible. It points instead to the importance of context.

St Mary's church, Cloth Hall, and Main Market Square in Krakow.

Poland’s political story is a complex one. In the 20th century, its sociopolitical landscape was buffeted by decades of communist rule alongside the enduring influence of the Catholic Church. More recently, the country has seen a surge of right-wing populist governance, democratic backsliding, and a highly-polarized media environment. In such a setting, right-leaning beliefs may feel socially and institutionally secure. When beliefs feel secure rather than embattled, there may be less need to defend them rigidly, making belief updating somewhat more likely. This may help explain why, in the Polish context, right-leaning participants appeared more open to change than patterns reported in earlier work.

Crucially, those earlier findings, often drawn from contexts in which liberal ideas are culturally dominant, should therefore not be read as evidence that left-leaning individuals are inherently more flexible. Instead, flexibility tends to emerge when beliefs feel less threatened. Taken together, these findings suggest that belief flexibility is not a fixed trait. It is shaped by cultural history, political power, and the broader social climate. Rigidity emerges when central beliefs feel threatened and relaxes when they feel secure.

A Context-Sensitive Perspective on Belief Change: Four Broader Lines of Evidence

Figure 4. The effect of education on climate change awareness in Europe. (A) The effects of education for the political right and left. (B) The effects of left-right identification at high and low HDI. The analysis is based on 2016 European Social Survey data (N=135,431). The grey shaded area represents 95% confidence intervals. Note: HDI summarizes information from indices such as life expectancy, education, and standard of living in a country.

The idea that belief rigidity is context-sensitive is not just theoretical. It becomes visible wherever people are grappling with high-stakes issues. When we form opinions about critical issues such as climate change, public health crises, or whether to trust scientists, those beliefs do more than register a preference – they can become interpretive lenses, shaping how we read evidence, evaluate sources, and make sense of events. Because the stakes feel so high, these domains reveal when convictions harden and when they remain open to revision.

Climate Change and Education Across the Globe.

In the United States, education has a complex, often polarizing relationship with climate change beliefs (Drummond & Fischhoff, 2017; Hornsey et al., 2016). The more educated a person is, the more tightly their views on climate change tend to track their political identity. Among liberals, higher education often strengthens pro-climate attitudes whereas among conservatives, it may have little effect—or even shift views in the opposite direction. In this setting, additional education can widen the ideological divide rather than bridging it. At first glance, this pattern appears consistent with a “rigidity of the right” interpretation. But the global picture is more complicated.

Figure 5. The effects of education and left-right identification on anthropogenic climate change awareness for low and high HDI countries (Hornsey et al. 2018 data collected in 25 countries: Argentina, Australia, Brazil, Canada, Chile, China, France, Germany, Hong Kong, India, Indonesia, Ireland, Japan, Mexico, New Zealand, Philippines, Poland, Portugal, Singapore, South Africa, South Korea, Spain, Sweden, the UK, and the US. There were 5,323). Note: HDI summarizes information from indices such as life expectancy, education, and standard of living in a country.

This pattern, however, is not universal.  In a large-scale study spanning 64 countries (Czarnek et al., 2021), we found that in less developed and middle-income nations, education generally increased belief in climate change across the political spectrum.  There, education plays the role many people expect: it broadens awareness regardless of partisan leanings. By contrast, in highly developed countries, a different dynamic plays out. Among right-leaning individuals, ideological filtering appears to have a more powerful impact, diminishing – or in some cases reversing – the effect of education on climate change beliefs. In these contexts, political identity exerts an outsized influence on how educational messages are interpreted and accepted. Figure 4 reports the effects for European countries, whereas Figure 5 displays the results for 25 countries in total, including both European and non-European cases. The broader point is not that rigidity is inherently right-wing. Rather, it is that political identity becomes more entrenched in certain cultural environments. In those contexts, stronger identity investment, particularly at the ideological extremes, can override the usual effects of education. Education does not automatically produce openness. Its impact depends on how tightly beliefs are woven into identity within a given society.

As Countries Become More Affluent, Climate Change Attitudes Become More Politically Polarized.

A consistent finding in the literature is that political conservatives tend to express less concern about climate change than others. But how stable is that divide across countries, and is it changing over time? To find out, we analyzed survey responses from nearly 285,000 people across 54 countries over the past 30 years (Czarnek et al., 2025).

A clear pattern emerged: the gap in climate concern between conservatives and others has widened over time, and this divide is especially pronounced in wealthier countries. In higher-income nations, the association between conservatism and lower climate concern was stronger. This pattern held even after accounting for factors such as CO₂ emissions, education levels, and income inequality (Figure 6). We also found that political polarization around climate change was more intense in countries with higher per capita emissions, suggesting that heavy reliance on fossil fuels may amplify political divisions. Yet, within individual countries, rising emissions over time did not consistently predict increasing polarization.

Figure 6. Between-country differences in GDP moderate the association between political conservatism and climate change concern across ISSP (Panel A), Eurobarometer (Panel B), and Pew dataset (Panel C). The figures are based on the analysis with multiple moderators, the slopes are shown at +/- 1 SD around the mean of the moderator, and the shaded area corresponds to 95% confidence intervals.

Taken together, these findings suggest that what sometimes looks like a “rigidity of the right” may, in fact, reflect how strongly climate change has become tied to political identity in particular cultural contexts. In affluent societies where the issue is deeply politicized, resistance clusters more sharply along ideological lines. But this pattern is not universal. It emerges where identity investment is high and the stakes feel politically charged.

Trust in Scientists During a Crisis.

Across three studies conducted before and during the global pandemic (Kossowska et al., 2021), we observed a consistent pattern: political ideology strongly predicted trust in scientists. Individuals who leaned left were generally more inclined to trust scientific authorities, whereas those who leaned right were more skeptical, particularly in contexts where conservative narratives questioned scientific institutions. This skepticism had behavioral consequences. It was associated with lower willingness to be vaccinated and weaker adherence to public health guidelines. In these settings, political identity shaped whether people accepted basic information about health and safety. The broader point is not simply that political disagreement exists. It is that, under certain conditions, identity-linked beliefs can shape responses even to claims that appear relatively objective. As with climate change, what may look like ideological rigidity reflects how deeply issues become intertwined with political identity in particular contexts.

Open-Minded Thinking and Belief Accuracy.

A fourth line of research identified a potential buffer against ideological bias (Kossowska et al., 2023a): open-minded thinking – a cognitive style that prioritizes evidence-based reasoning over immediate intuitive reactions.

Although participants on the political right were, on average, more prone to factual inaccuracies, those who scored high in open-minded thinking demonstrated substantially greater belief accuracy, even when the facts clashed with their own ideology. Among left-leaning individuals, belief accuracy was less dependent on cognitive style; factual correctness remained relatively stable regardless of how open- or closed-minded they were. For right-leaning participants, by contrast, cognitive openness made a profound difference.

The weight of the evidence suggests that belief accuracy is not determined by ideology alone; it depends on how people process information. When individuals are willing and able to tolerate uncertainty and engage openly with evidence, ideological bias loosens its grip. Under the right conditions, minds can open. But such openness is more likely in environments where people feel safe revisiting the meaning frameworks that help organize their sense of self.

Rethinking How We Rethink

Belief change does happen, especially when people encounter high-quality counterarguments that are clear, credible and worth taking seriously. When the emotional temperature is lowered, when identity is not on the defensive and when people are invited to genuinely engage with evidence in good faith, minds can open. But there’s an important caveat: political context matters. Beliefs do not sustain themselves in a vacuum. They are constantly shaped, and reshaped, by cultural narratives, media ecosystems, broader social contexts and collective memory. That is why context-sensitive research matters, and why one-size-fits-all solutions so often disappoint. These insights matter now more than ever. As societies fracture along ideological lines, strengthening our collective capacity for belief revision may be one of the more practical tools available for protecting democratic life.

 

What Actually Opens Minds?

A consistent message emerges across this work: belief change is more likely when disagreement does not threaten our sense of identity, coherence, or existential stability. So, what can we do?

  • Lead with understanding. Resistance often reflects what people fear losing. Shifting from “proving someone wrong” to understanding what a belief does for them can create the conditions under which belief revision becomes possible.

  • Design environments that support open-minded engagement. Creating such environments is difficult, but the potential payoff is substantial and worth exploring. It means creating spaces, online and offline, where ideas can be explored without shame, ridicule, or performative group pressure, and where disagreement is treated less as a threat than as an opportunity for epistemic growth. In such settings, experiences that might otherwise trigger defensiveness can instead invite reflection and learning.

  • Relearn how to listen. Listening that suspends judgment and self-protection is a first crucial step, allowing disagreement to be encountered without immediately mobilizing identity-defensive reactions.

Staying open to revising our own beliefs is by no means easy. It requires curiosity, humility, and a readiness to question the meaning frameworks that anchor our sense of self. As the tradition of Socratic dialogue reminds us, disagreement works best when it is approached as a shared search for understanding rather than as a contest to be won. Yet in a world grappling with polarization, misinformation and social fissures, this less contentious manner of engaging with diverging viewpoints might be one of the most consequential acts of democratic resilience we can practice.

Acknowledgement: The studies we referred to were funded by Riksbankens Jubileumsfond (#M18-0310:1; 2019–2024). A summary of the project has been published in the program book Kunskapsresistens: Orsaker, konsekvenser och motmedel (Knowledge Resistance: Causes, Consequences, and Cures), edited by Åsa M. Wikforss and published by Stiftelsen Riksbankens Jubileumsfond.


Malgorzata Kossowska, Ph.D., is a professor of psychology and head of the Social Psychology Unit and the Center for Social Cognitive Studies at the Institute of Psychology, Jagiellonian University. She also leads the Behaviour in Crisis Lab at Jagiellonian University. Her research focuses on the cognitive and motivational foundations of complex social phenomena—such as political ideology, prejudice, and social inequality in cultural contexts—as well as knowledge resistance, cognitive rigidity, and their implications for social problem-solving and socio-political decision-making. She is the author of more than 90 internationally published papers and eight books on social cognition, closed-mindedness, stereotyping, prejudice, and tolerance. Her work offers a strong foundation for investigating the psychological mechanisms underlying the transformative impact of digital media. Find more about her work on Google Scholar, at the Center for Social Cognitive Studies, and at the Behavior in Crisis Lab.

Anna Knorr, MA, is a Marie Sklodowska-Curie Action Doctoral Candidate at the Institute of Psychology at Jagiellonian University. She received her Master’s degree in Psychology with distinction from the University of Vienna. Her research focuses on the cognitive foundations of radicalization and extremism. Grounded in the view that beliefs actively construct subjective realities and systems of meaning, her work investigates when and why ideological convictions solidify and become resistant to change. Using experimental, survey-based, computational, and large-scale text-analytic methods, her work aims to contribute insights that are both theoretically grounded and actionable. Find more about her work on LinkedInGoogle Scholar, or ResearchGate.

Kenneth Vail